Olivera Kotevska, a research scientist at Oak Ridge National Laboratory, won an R&D 100 Award for PRESTO, a privacy-preserving AI toolkit she led at ORNL’s Computer Science and Mathematics Division.
“Being one of the winners is really an honor,” Kotevska said at the 2025 R&D 100 Awards gala. “I still sometimes cannot believe this is happening.”
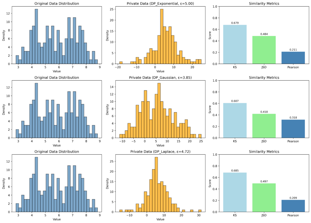
PRESTO (Privacy REcommendation and SecuriTy Optimization) automates the selection of differential-privacy settings, helping researchers protect sensitive data while maintaining analytical utility. Traditional privacy libraries require users to manually experiment with different algorithms to find the right fit for their data—a process that demands deep theoretical expertise. PRESTO eliminates that barrier by using Bayesian optimization to analyze dataset characteristics and recommend the best privacy algorithms automatically. The open-source Python toolkit is available on GitHub.

Similarity analysis comparing original data, private data distributions, and metrics as shown on the project’s GitHub repo.
The tool addresses a growing need across healthcare, finance, and research, where regulations like HIPAA and GDPR require compliant data sharing. Existing differential privacy libraries from IBM, Google and Meta provide algorithm implementations but little to no guidance is available on which to use or how to tune them. ORNL describes PRESTO as the first to automate both algorithm selection and parameter optimization. In essence, it makes privacy-preserving analytics accessible to domain experts who aren’t differential privacy specialists.
Kotevska’s win came on her first R&D 100 submission after years of admiring the competition. “I really wanted to be one of the winners for the past year or two, and to win on my first try. I couldn’t be happier.”
The recognition carries weight beyond personal achievement. “It is a very big satisfaction that the idea we had was recognized by experts in the field, in government and in industry,” she said. “It gives us additional motivation to do even bigger things in the future.”
Oak Ridge won 20 R&D 100 Awards in 2025, setting a lab record and leading all national laboratories. PRESTO was among 17 ORNL-led innovations recognized in the 63rd annual competition, which drew entries from 16 countries. The project is funded by the DOE Office of Science’s Office of Advanced Scientific Computing Research.




Tell Us What You Think!
You must be logged in to post a comment.